Здравствуйте, гость ( Вход | Регистрация )

Форум судебных медиков России
>   Правила консультационного раздела >

ВНИМАНИЕ! Все сообщения проходят предварительную проверку модератором и только после этого появляются на форуме. Порядок работы раздела изложен в правилах форума.
Все консультации на форуме бесплатны, но если мы смогли вам помочь, вы можете поддержать наш проект (подробнее).

 
>

Возможно ли оспорить выводы СМЭ и изменить степень тяжести со средней на тяжкие?

>
vladimir1974
сообщение 24.08.2017 - 18:29
Сообщение #1


Вновь прибывший

Группа: Пользователи
Регистрация: 24.08.2017
Пользователь №: 45 799


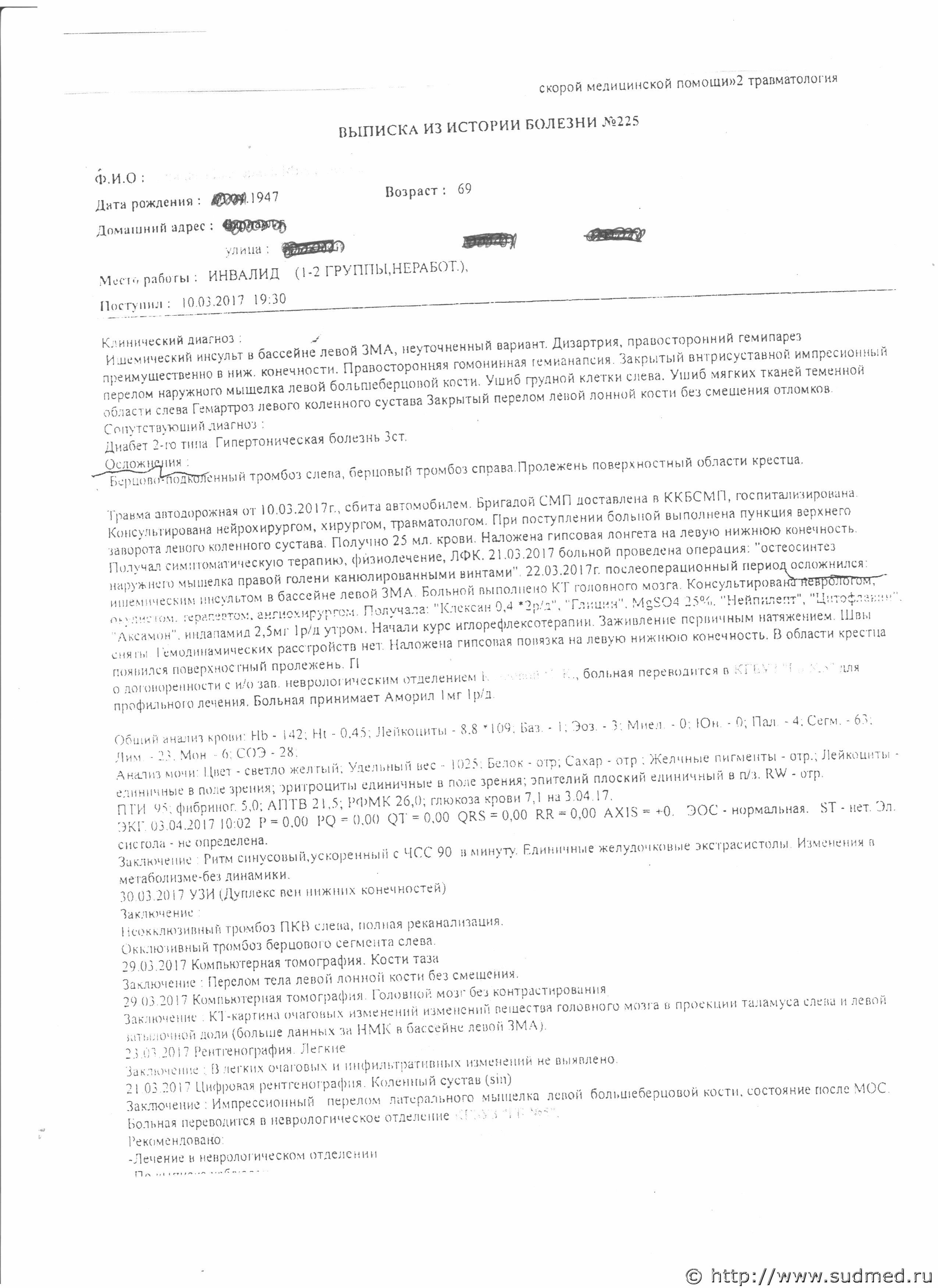
Мою маму сбила машина на пешеходном переходе на зеленый свет.
В больнице СМП были поставлены диагнозы: перелом лонной кости, перелом наружного мыщелка левой голени со смещением, ушиб мягких тканей теменной области слева, ушиб грудной клетки слева. Первоначально ставился также диагноз закрытый вколоченный перелом шейки левого бедра. Во время операции на голени по установке винтов случился инсульт. Мама лежала в больнице с момента травмы до операции 13 дней. После инсульта ей сделали дуплекс вен и обнаружили берцово-подколенный тромбоз слева (в месте травмы).
В проведенная СМЭ инсульт не связывают с последствиями ДТП. Эксперт также игнорирует диагнозы лечащих врачей: ушиб мягких тканей теменной области слева и ушиб грудной клетки слева, которые могли быть причиной инсульта. В выписке БСМП прямо указано на то, что инсульт-это осложнение травмы. Никогда ранее до травмы никаких проблем с тромбами или мозговым кровообращением у мамы не было. После инсульта у мамы парез всей правой части тела, выпадение поля зрения справа. Была очень активным человеком до ДТП, сейчас из дома даже не выходит, боли, слабость. Лечили инсульт еще в двух больницах. Лечимся на дому постоянно. Толка почти нет.
Эксперт относит травмы лишь к средней степени тяжести. Можно ли отнести инсульт к последствиям ДТП? Возможно ли квалифицировать повреждения, как тяжкие?


Эскизы прикрепленных изображений
Судебная медицина - Прикрепленное изображение Судебная медицина - Прикрепленное изображение Судебная медицина - Прикрепленное изображение Судебная медицина - Прикрепленное изображение Судебная медицина - Прикрепленное изображение Судебная медицина - Прикрепленное изображение Судебная медицина - Прикрепленное изображение Судебная медицина - Прикрепленное изображение Судебная медицина - Прикрепленное изображение Судебная медицина - Прикрепленное изображение Судебная медицина - Прикрепленное изображение Судебная медицина - Прикрепленное изображение Судебная медицина - Прикрепленное изображение Судебная медицина - Прикрепленное изображение Судебная медицина - Прикрепленное изображение Судебная медицина - Прикрепленное изображение
Пользователь offline
К началу страницы
+Ответить с цитированием
 
>   Ответов(1 - 3) >
Медик
сообщение 24.08.2017 - 21:43
Сообщение #2


Учитель
Group Icon
Группа: Модераторы
Регистрация: 16.05.2010
Пользователь №: 21 553


Цитата(vladimir1974 @ 24.08.2017 - 19:29)
Можно ли отнести инсульт к последствиям ДТП?

Нельзя.
В Выводах написано правильно.
Пользователь offline
К началу страницы
+Ответить с цитированием
Anton
сообщение 25.08.2017 - 09:30
Сообщение #3


Мастер II

Группа: СМЭ
Регистрация: 6.12.2011
Из: Опорный край державы
Пользователь №: 30 279


Инсульт с травмами не увязать. Венозный тромбоз может быть осложнением травм, но не причина инсульта.
Тяжесть - средняя.
Пользователь offline
К началу страницы
+Ответить с цитированием
Радомир
сообщение 25.08.2017 - 21:55
Сообщение #4


Мастер III
Group Icon
Группа: Модераторы
Регистрация: 30.11.2008
Из: Российская Федерация
Пользователь №: 11 273


Вред здоровью средней тяжести. Невозможно обоснованно установить прямую причинно-следственную связь между этой травмой и инсультом.
Пользователь online
К началу страницы
+Ответить с цитированием




- Обратная связь Сейчас: 7.11.2025 - 12:45