Здравствуйте, гость ( Вход | Регистрация )

Форум судебных медиков России
80 страниц V « < 55 56 57 58 59 > »   
>

помогите с экспертизой

Рейтинг  5
>
chemist-sib
сообщение 17.02.2015 - 20:46
Сообщение #841


Магистр форума

Группа: Токсикологи
Регистрация: 24.02.2010
Из: Сибирь большая...
Пользователь №: 20 201


Цитата(alexlp @ 17.02.2015 - 23:06)
Полагаю, что "в виде триметилсилильного эфира" - это лишнее. Ведь вы сами перевели его в это состояние.

может быть, немного не в тему, но у меня такое же чувство возникает, когда многие из моих коллег, после проведения гидролиза, пишут в заключении "продукт гидролиза производного 1,4-бензодиазепина..." wacko.gif
Пользователь offline
К началу страницы
+Ответить с цитированием
NVSh
сообщение 18.02.2015 - 10:15
Сообщение #842


Претендент

Группа: Участники
Регистрация: 25.11.2010
Пользователь №: 24 249


Здравствуйте! Уважаемые коллеги, нужна Ваша помощь. Пациент в реанимации, врачей интересует "соль", "спайс".
Колонка 15 м. Режим термостата колонки 100С-40С/мин-325С
908 - щелочное извлечение из мочи
908К - щелочной гидролиз, кислое извлечение, метилирование.
908G - кислые гидролиз, щелочное извлечение, без дериватизации (дериватизируется).
Спасибо.


Прикрепленные файлы
Судебная медицина - Прикрепленный файл  908.rar ( 6.73 мегабайт ) Кол-во скачиваний:  249
Пользователь offline
К началу страницы
+Ответить с цитированием
alexlp
сообщение 18.02.2015 - 14:17
Сообщение #843


Мастер II

Группа: СМЭ
Регистрация: 14.06.2008
Пользователь №: 8 835


Цитата(NVSh @ 18.02.2015 - 12:15)
Здравствуйте! Уважаемые коллеги, нужна Ваша помощь. Пациент в реанимации, врачей интересует "соль", "спайс".
Колонка 15 м. Режим термостата колонки 100С-40С/мин-325С
908 - щелочное извлечение из мочи
908К - щелочной гидролиз, кислое извлечение, метилирование.
908G - кислые гидролиз, щелочное извлечение, без дериватизации (дериватизируется).
Спасибо.


908 - щелочное извлечение из мочи и 908G - кислые гидролиз, щелочное извлечение, без дериватизации:
Димедрол (много)
Анальгин с метаболитами - очень очень много!
Dextromethorphan

Метоклопрамид (много)
Триметоприм

В 908К - щелочной гидролиз, кислое извлечение, метилирование ничего примечательного, метаболит ибупрофена.

Дизайнов и каннабимиметиков лично я не увидел.

как то так..


Пользователь offline
К началу страницы
+Ответить с цитированием
kollektiv
сообщение 18.02.2015 - 16:06
Сообщение #844


Читатель

Группа: Химики-аналитики
Регистрация: 30.11.2010
Пользователь №: 24 319


Цитата(Korvet @ 17.02.2015 - 17:11)
я бы написал так.

в представленном объекте обнаружено вещество хххх (название в номенклатуре июпак и в скобочках жаргонное наименование), в виде триметилсилильного эфира. Данное вещество является метаболитом вещества ууу (название в номенклатуре июпак и в скобочках жаргонное наименование), а также метаболитом вещества zzz(название в номенклатуре июпак и в скобочках жаргонное наименование)


Уважаемый Korvet! Поясните, пожалуйста, зачем указывать, что вещество ххх является метаболитом и вещества zzz? В моче обнаружены два метаболита, являющимися маркерами употребления только АВ-CHMINACA, так как для метаболита ММВ-CHMINACA характерны другие ионы - разница у этих двух соединений в двух позициях: https://www.caymanchem.com/images/catalog/16200.png и https://www.caymanchem.com/images/catalog/15434.png, то есть отличаются они двумя радикалами, соответственно и основные маркеры их разные.




Пользователь offline
К началу страницы
+Ответить с цитированием
alexlp
сообщение 18.02.2015 - 16:16
Сообщение #845


Мастер II

Группа: СМЭ
Регистрация: 14.06.2008
Пользователь №: 8 835


Цитата(kollektiv @ 18.02.2015 - 18:06)
Уважаемый Korvet! Поясните, пожалуйста, зачем указывать, что вещество ххх является метаболитом и вещества zzz? В моче обнаружены два метаболита, являющимися маркерами употребления только АВ-CHMINACA, так как для метаболита ММВ-CHMINACA характерны другие ионы - разница у этих двух соединений в двух позициях: https://www.caymanchem.com/images/catalog/16200.png и https://www.caymanchem.com/images/catalog/15434.png, то есть отличаются они двумя радикалами, соответственно и основные маркеры их разные.

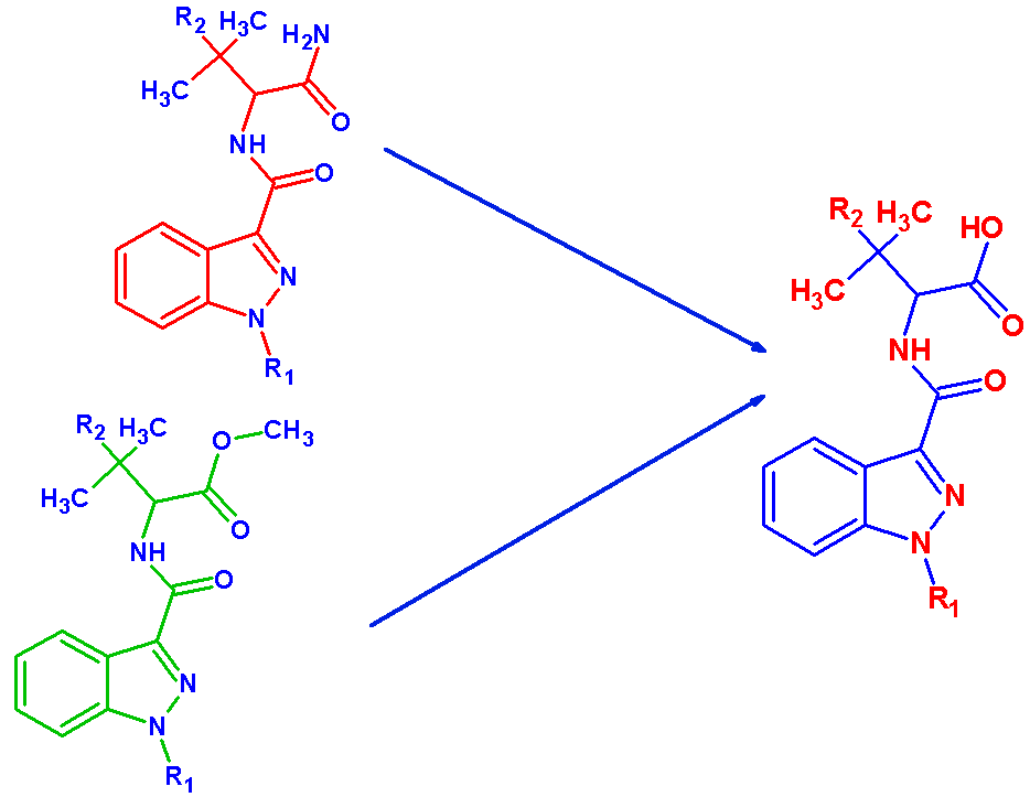
Уважаемый kollektiv!
Вот основной путь метаболизма:
Судебная медицина - Прикрепленное изображение
Пользователь offline
К началу страницы
+Ответить с цитированием
alexlp
сообщение 18.02.2015 - 16:38
Сообщение #846


Мастер II

Группа: СМЭ
Регистрация: 14.06.2008
Пользователь №: 8 835


Цитата(kollektiv @ 18.02.2015 - 18:06)
разница у этих двух соединений в двух позициях: https://www.caymanchem.com/images/catalog/16200.png и https://www.caymanchem.com/images/catalog/15434.png, то есть отличаются они двумя радикалами, соответственно и основные маркеры их разные.


На приведенных вами формулах изображены AB-CHMINACA и MDMB-CHMINACA.

Сообщение отредактировал alexlp - 18.02.2015 - 16:39
Пользователь offline
К началу страницы
+Ответить с цитированием
Korvet
сообщение 18.02.2015 - 19:06
Сообщение #847


Магистр форума

Группа: СМЭ
Регистрация: 13.05.2009
Из: Томск
Пользователь №: 14 703


alexlp, большое спасибо за пояснения!
Видите ли kollektiv, конечно не все соединения которые были в виде амидов в незаконном обороте появлялись и в виде эфиров, и кстати наоборот тоже, но потенциальная возможность такая есть, поэтому лучше указывать максимально широкие выводы...
потому как что амид то и эфир дают один метаболит - кислоту....ну если Вы конечно находите в моче или где-то еще нативное соединение, то это другой вопрос.
Пользователь offline
К началу страницы
+Ответить с цитированием
kollektiv
сообщение 18.02.2015 - 21:21
Сообщение #848


Читатель

Группа: Химики-аналитики
Регистрация: 30.11.2010
Пользователь №: 24 319


Цитата(alexlp @ 12.01.2015 - 12:26)
Хорошая хроматограмма.

Вы правы, на хроматограмме идентифицируется именно этот основной метаболит - маркер на 15.8998.
М3 там действительно не убедителен, т.е. там его просто нет.
Во первых, надо понимать, что обнаруженный метаболит является основным для двух разных соединений:
AB-CHMINACA (MBA(N)-CHM)
MMB-CHMINACA (MMB(N)-CHM)
И что он на самом деле курил может установить только суд, т.к. мы это сделать не можем иначе, как обнаружив в негидролизованной, недериватизированной моче нативный MMB-CHMINACA (что иногда случается).

Они, в свою очередь, являются производными:
AB-PINACA (MBA(N)-018)
MMB-PINACA (MMB(N)-018).


Производные получаются через формальное замещение атома водорода на -С2Н5 в пентильном хвосте, и затем этот удлиненный хвост закручивается в цикл.

Полагаю, что ссылаться можно на эту публикацию. На нее же ссылается и АИПСИН.


Уважаемый alexlp, а может быть такое, что метаболит AB-CHMINACA M1 является метаболитом:
AB-CHMINACA и
MAB-AB-CHMINACA (MA-CHMINACA)

а не MMB-CHMINACA


Пользователь offline
К началу страницы
+Ответить с цитированием
alexlp
сообщение 18.02.2015 - 21:33
Сообщение #849


Мастер II

Группа: СМЭ
Регистрация: 14.06.2008
Пользователь №: 8 835


Цитата(kollektiv @ 18.02.2015 - 23:21)
Уважаемый alexlp, а может быть такое, что метаболит AB-CHMINACA M1 является метаболитом:
AB-CHMINACA и
MAB-AB-CHMINACA (MA-CHMINACA)

а не MMB-CHMINACA


Конечно может! Потому, что MAB-AB-CHMINACA = MA-CHMINACA = MMB-CHMINACA.

Пользователь offline
К началу страницы
+Ответить с цитированием
kollektiv
сообщение 18.02.2015 - 21:42
Сообщение #850


Читатель

Группа: Химики-аналитики
Регистрация: 30.11.2010
Пользователь №: 24 319


Цитата(alexlp @ 18.02.2015 - 21:33)
Конечно может! Потому, что MAB-AB-CHMINACA = MA-CHMINACA = MMB-CHMINACA.


https://www.caymanchem.com/app/template/Pro...m/catalog/16421
https://www.caymanchem.com/app/template/Pro...m/catalog/16965
Пользователь offline
К началу страницы
+Ответить с цитированием
alexlp
сообщение 18.02.2015 - 21:46
Сообщение #851


Мастер II

Группа: СМЭ
Регистрация: 14.06.2008
Пользователь №: 8 835


Цитата(kollektiv @ 18.02.2015 - 23:42)

Мне кажется, что вы опять смешиваете MMB и MDMB...
MMB - это метиловые эфиры МЕТИЛбутановой кислоты
MDMB - это метиловые эфиры ДИМЕТИЛбутановой кислоты.

И еще
CHMINACA - это индазольный скелет
CHMICA - это ИНДОЛЬНЫЙ скелет

Сообщение отредактировал alexlp - 18.02.2015 - 21:48
Пользователь offline
К началу страницы
+Ответить с цитированием
kollektiv
сообщение 18.02.2015 - 21:54
Сообщение #852


Читатель

Группа: Химики-аналитики
Регистрация: 30.11.2010
Пользователь №: 24 319


Цитата(alexlp @ 18.02.2015 - 21:46)
Мне кажется, что вы опять смешиваете MMB и MDMB...
MMB - это метиловые эфиры МЕТИЛбутановой кислоты
MDMB - это метиловые эфиры ДИМЕТИЛбутановой кислоты.

И еще
CHMINACA - это индазольный скелет
CHMICA - это ИНДОЛЬНЫЙ скелет


Простите, ради Бога, наверное уже надоели Вам, выходит, что здесь
https://www.caymanchem.com/app/template/Pro...m/catalog/16965 не правильно указан синоним?
Пользователь offline
К началу страницы
+Ответить с цитированием
alexlp
сообщение 18.02.2015 - 21:56
Сообщение #853


Мастер II

Группа: СМЭ
Регистрация: 14.06.2008
Пользователь №: 8 835


Цитата(kollektiv @ 18.02.2015 - 23:54)
Простите, ради Бога, наверное уже надоели Вам, выходит, что здесь
https://www.caymanchem.com/app/template/Pro...m/catalog/16965 не правильно указан синоним?

НЕСОМНЕННО!
(Никто не застрахован от ошибок. Тривиальные названия рождаются "по ходу пьессы", поэтому и в каймане встречаются "ляпы").

MethylDiMethylButanoat-CycloHexylMethylIndolCarboxAmide

Сообщение отредактировал alexlp - 18.02.2015 - 22:03
Пользователь offline
К началу страницы
+Ответить с цитированием
kollektiv
сообщение 18.02.2015 - 21:59
Сообщение #854


Читатель

Группа: Химики-аналитики
Регистрация: 30.11.2010
Пользователь №: 24 319


Цитата(alexlp @ 18.02.2015 - 21:56)
НЕСОМНЕННО!
(Никто не застрахован от ошибок. Тривиальные названия рождаются "по ходу пьессы", поэтому и в каймане встречаются "ляпы").


Спасибо Вам огромное!
Пользователь offline
К началу страницы
+Ответить с цитированием
hot_assay
сообщение 15.03.2015 - 08:42
Сообщение #855


Продвинутый участник

Группа: Участники
Регистрация: 10.07.2008
Из: Ярославль
Пользователь №: 9 065


Глубокоуважаемые коллеги!

Прошу ознакомиться с приложенными хроматограммами.
Краткие обстоятельства: быстрое наступление смерти, предположительно - в связи с употреблением курительных смесей, на вскрытии - отёк лёгких.
15-1696b.D - экстракт из крови после осаждения сульфосалициловой кислотой (pH 8-9)
15-1696h-tms.D - щелочной гидролизат крови, экстракция при pH 3, TMS
15-1697B-1.D - экстракт из мочи без гидролиза (pH 8-9)
15-1697h-tms.D - щелочной гидролизат мочи, экстракция при pH 3, TMS

Из идентифицируемого вижу только маленький гидрокси-метаболит MDMB-CHMINACA в гидролизате мочи и диклофенак-ТМС в гидролизате крови.
Также в гидролизате мочи привлёк внимание пик (13,8 мин) с интересным спектром (см. картинку Судебная медицина - Прикрепленное изображение ): m/z 360, 271, 253. Встречалось кому-то что-то подобное?


Сообщение отредактировал hot_assay - 15.03.2015 - 08:43


Прикрепленные файлы
Судебная медицина - Прикрепленный файл  15_1697B_1.D.ZIP ( 4.34 мегабайт ) Кол-во скачиваний:  217
Судебная медицина - Прикрепленный файл  15_1696b.D.zip ( 3.54 мегабайт ) Кол-во скачиваний:  218
Судебная медицина - Прикрепленный файл  15_1696h_tms.D.zip ( 6.5 мегабайт ) Кол-во скачиваний:  205
Судебная медицина - Прикрепленный файл  15_1697h_tms.D.zip ( 6.07 мегабайт ) Кол-во скачиваний:  203
Пользователь offline
К началу страницы
+Ответить с цитированием

80 страниц V « < 55 56 57 58 59 > » 



- Обратная связь Сейчас: 14.12.2025 - 17:15